- Photos
- Berlin's sights
- Panoramic views
- Berlin's Nature
- Berlin Wall
- Hotels
- Berlin Modernism & Bauhaus100
- Berlin life
- Culinary Berlin
- Berlin for families
- Vegetarian & vegan Berlin
- culture
- Seasons
- Christmas Markets
- Events
- Berlin deluxe
- Shopping
- Sport
- LGBTI
- Politics & contemporary history
- Accessible Berlin
- convention city Berlin
- Kieker & Wendt, CEOs visitBerlin
- Videos
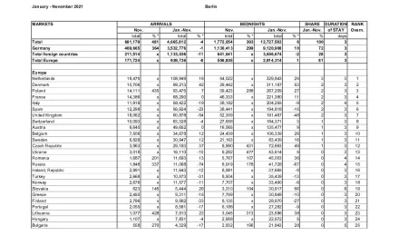
- Facts & Figures
- Texts
- Publications

























