- Fotos
- Sehenswürdigkeiten
- Panoramen
- Berlins Natur
- Berliner Mauer
- Hotels
- Berliner Moderne & Bauhaus100
- Stadtleben
- Kulinarisches Berlin
- Berlin für Familien
- Vegetarisches & veganes Berlin
- Kultur
- Jahreszeiten
- Weihnachtsmärkte
- Events
- Berlin deluxe
- Shopping
- Sport
- LGBTi
- Politik & Zeitgeschichte
- Barrierefreies Berlin
- Kongressmetropole Berlin
- Kieker & Wendt, CEOs visitBerlin
- Videos
- Zahlen und Fakten
- Texte
- Publikationen
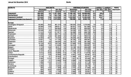
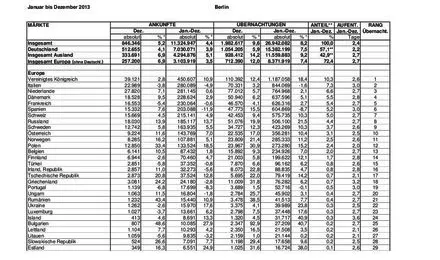
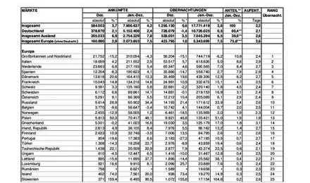
Hier finden Sie Berlins Tourismus-Statistiken.
Weitere Infos zu den Tourismus-Jahresbilanzen: 2024, 2023, 2022, 2021, 2020 und 2019.
Mehr Zahlen hier im Überblick, z.B. Wissen über unsere Berlin-Gäste.















